ZEMCH 2012 International Conference Proceedings - page 669

D e v e l o p m e n t o f C o n f i g u r a t i o n of T r a n s v e r s e R e i n f o r c e m e n t
659
Conclusions
From this study on the development of configuration of transverse reinforcement in
columns using electric arc furnace oxidizing slag aggregate, the following conclusions are
drawn from thus research:
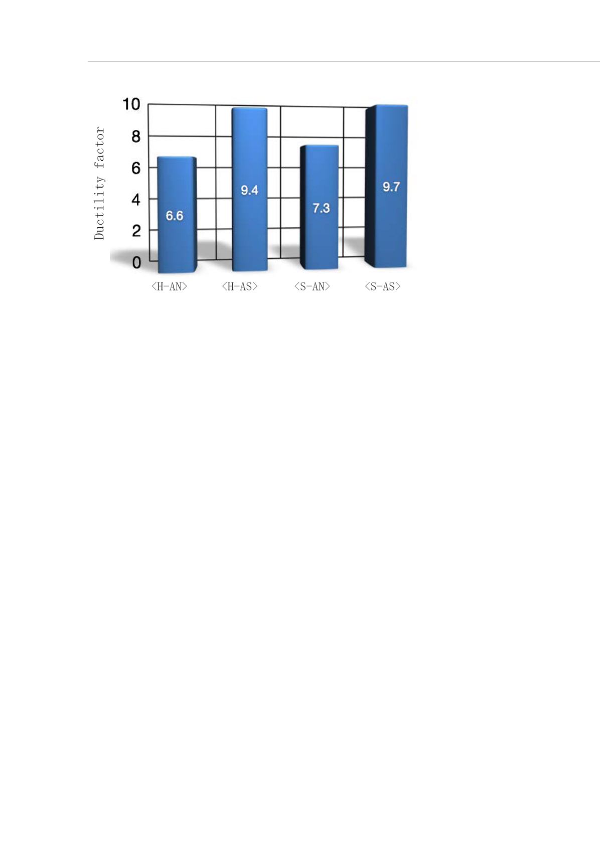
1. Specimen AS, fabricated using electric arc furnace oxidizing slag aggregate, had
an equal flexural capacity as specimen AN, fabricated using natural aggregate,
with approximately 40% higher ductility factor, irrespective of the configuration of
the transverse reinforcement.
2. Irrespective of the type of aggregate used, the S-type specimen with a spiral steel
bar configuration had an equivalent flexural capacity as the H-type specimen with
a hoop steel bar configuration with equal or greater ductility factor although the
amount of transverse reinforcement in the experiment section was reduced by
over 50%.
Based on the above results, it was determined that electric arc furnace oxidizing slag
aggregate would be applicable in reinforced concrete members. In particular, combining
this type of aggregate with the spiral steel bar configuration that reduces the required
transverse reinforcement by 50% compared to the hoop steel bar configuration will
contribute to the reduction of carbon dioxide emission and energy consumption by the
construction industry. Furthermore, there is a need to conduct more studies on that electric
arc furnace oxidizing slag aggregate in the future.
Acknowledgments
This work was supported by Priority Research Centers Program through the National
Research Foundation of Korea (NRF) funded by the Ministry of Education, Science and
Technology (2011-0022977). In addition, This work was supported by the Human
Resources Development of the Korea Insitute of Energy Technology Evaluation and
Planning(KETEP) grant funded by the Korea government Ministry of Knowledge
Economy(20114010203040).
Figure 5: Ductility factor of specimens
1...,659,660,661,662,663,664,665,666,667,668 670,671,672,673,674,675,676,677,678,679,...788
Powered by FlippingBook