ZEMCH 2012 International Conference Proceedings - page 426

Z E M C H 2 0 1 2 I n t e r n a t i o n a l C o n f e r e n c e
416
users employing web based and in-person approach. A total of 575 responses were
received of which 453 were from users and the remaining 122 from industry.
Results
The results show that energy-efficiency in Saudi residential sector received more
attention. The major issues covered in the energy-efficiency part are the daylighting,
artificial lighting system, natural ventilation, glazing system, electrical appliances, and
thermal insulation. It has been indicated from the results that there is an acceptable level
of awareness and implementation of the concept of energy-efficiency among both users
and professionals. Generally, daylighting, natural ventilation and energy-saving fixtures
are extensively used by dwelling users. However, more than 40% are not aware of the
energy rating of their appliances and equipments. Also, more than 60% of users are
using fluorescent lamps which are more efficient than other lamps such as incandescent
and tungsten-halogen lamps. In spite of the fact that about 40% of users are using
double-glazed system in their dwelling, more than 50% of them are not aware of the
influence of the glazing system on the building energy performance. The survey shows
that only 16% of users have insulated external walls in their current dwelling, and about
30% of them are using polystyrene as thermal insulation.
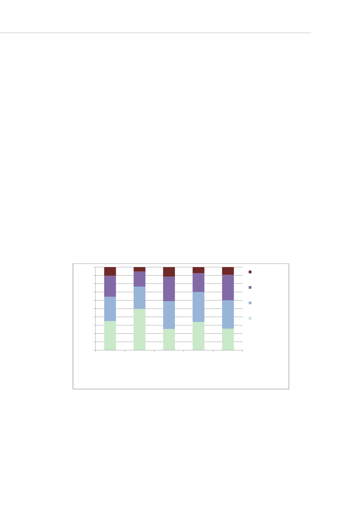
Survey participants were asked about a number of sustainable design features to check
their acceptability towards the concept of sustainable design in general and these
features in particular. Results suggest that with different level of acceptability depending
on the type of feature, most of the examined features are attractive to users as indicated
in Figure 1. It is also seen that users are happy to pay more for constructing or
purchasing a sustainable dwelling. Moreover, about 39% of professionals consider that
the view that sustainable design changes the life-style of the users is not a barrier; while
32% consider it as a minor barrier.
Figure 1: The acceptability of some sustainable design features by residential building users
In comparison to factors like cost, construction time, architectural outfit, quality and
safety, sustainability has been regarded by about 33% of the professionals as the least
important factor (see Figure 2). Similarly, in terms of the most important factor to be
considered in construction projects, cost has been highlighted by 34% of the
professionals while sustainability has been highlighted by only 2.5% of them.
0%
10%
20%
30%
40%
50%
60%
70%
80%
90%
100%
Green roof
Courtyard
with a
fountain
Cooling and
wind tower
Rowshans/
Mushrabiyahs
Dome
structure
Unacceptable
Do not mind
Acceptable
Highly
acceptable
1...,416,417,418,419,420,421,422,423,424,425 427,428,429,430,431,432,433,434,435,436,...788
Powered by FlippingBook