ZEMCH 2012 International Conference Proceedings - page 658

Z E M C H 2 0 1 2 I n t e r n a t i o n a l C o n f e r e n c e
648
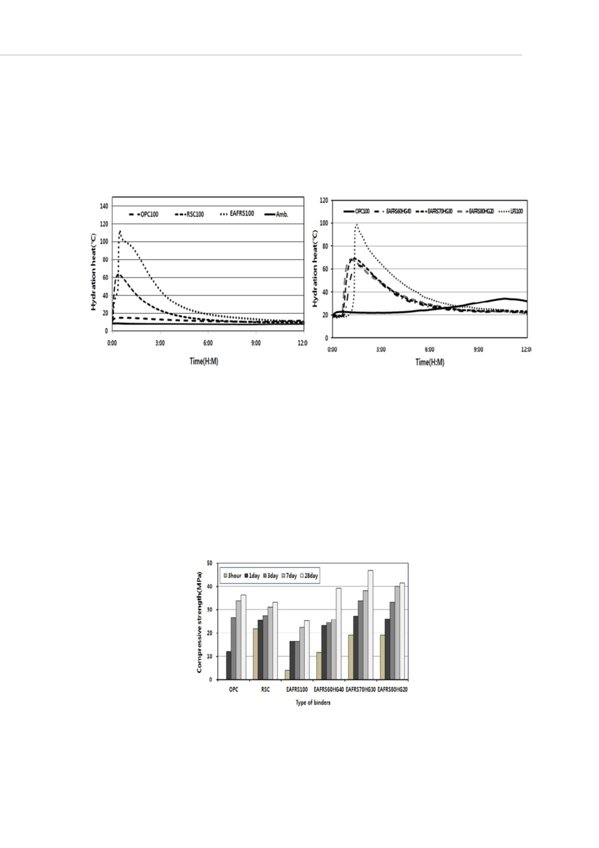
inorganic binder with the high thermal hydration of 110
, the drastic temperature
increase and decrease causes the crack for adverse result in the durability aspect. Fig. 4
shows the thermal hydration characteristics of the EAFRS binder mixed with the gypsum.
The initial thermal hydration with 110
shown in time of the EADRS showed the drastic
hydration heat radiation improvement in initial time for approximately 70
, a similar level
with 60
as the initial thermal hydration value of the regulated setting cement by the
gypsum mixture.
Fig. 3 Hydration heat of EAFRS powder
compared with various binders
Fig. 4 Hydration heat of EAFRS powder with
gypsum compared with OPC and EAFRS
3.3 Compressive Strength
Fig. 5 shows the compressive strength following the material age. The binder that mixed
20% and 30% of the gypsum showed similar strength manifestation with the 28-day
material age strength of OPC for 3-day strength. In addition, compared to the regulated
setting cement, 3-hour and 1-day intensities were slightly lower, but after the 3-day
strength of material age, it showed higher strength manifestation than the regulated
setting cement. In particular, in the event of the binder of 30% of mixture for the gypsum,
it had the 129% of hydration activity than OPC in the 28-day strength for material age
which was much higher hydration activity measured for 69% when using the EAFRS
alone.
Fig. 5 Compressive strength of binders
1...,648,649,650,651,652,653,654,655,656,657 659,660,661,662,663,664,665,666,667,668,...788
Powered by FlippingBook